一分一段表将按照首选物理、首选历史分组进行高考成绩排名,且排名信息包含了每分段的同分人数、累计人数等,考生结合各校招生计划、往年最低录取位次等信息,即可大致筛选能上的大学名单。小编整理了辽宁2025年高考一分一段表,供2026考生参考。

辽宁2025高考历史类一分一段表




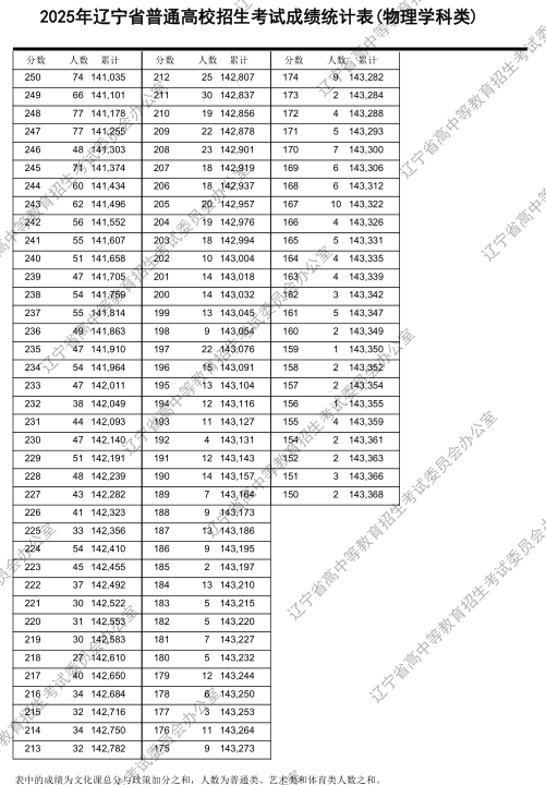
辽宁2025高考物理类一分一段表




在使用一分一段表时,应该对比近三年来的“一分一段”表,而不是单一使用某一年的一分一段表。看看所想要填报的大学连续三四年的最低录取分数线在哪个段位(即高出所在批次多少分),若自己的分数比至少两年的段位高,那报考该校把握较大。
比如,去年武汉大学理科在某省录取最低分数线为591分,今年一名考生理科考了592分,并不代表他今年报考武大就能“踩线录取”。因为去年该省理科591分对应的考生人数为3890人;而今年因该省600分以上的考生普遍较多,理科592分对应的考生人数多达20116人,今年的理科592分显然“贬值”了。
因此考生在对照高校往年录取分数线时,应以对比人数位次为主,若所在位次高于往年该校在本省录取分数位次,则说明报考有希望。