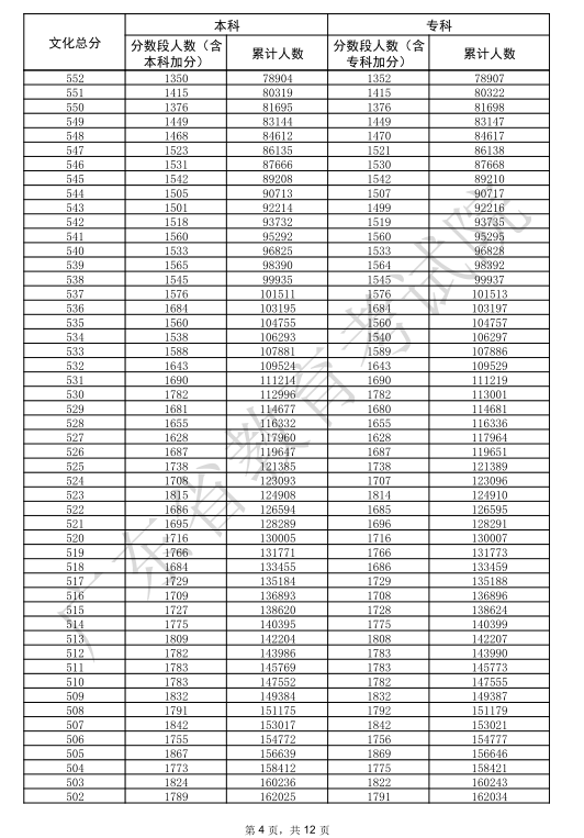
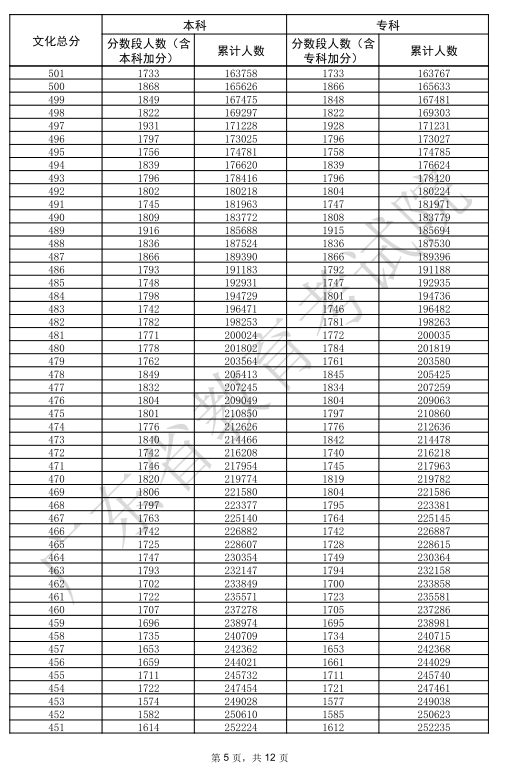
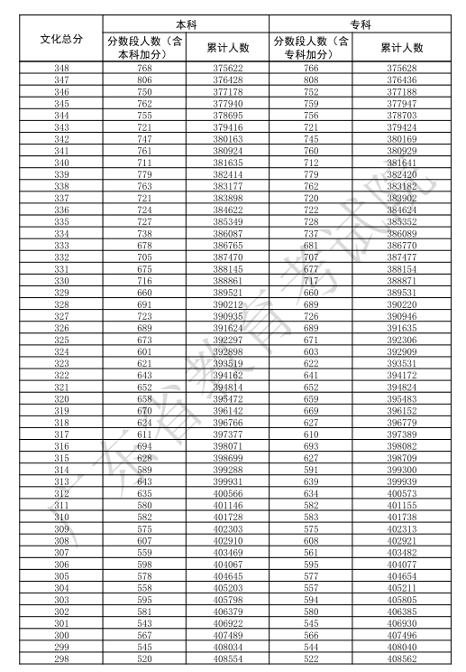
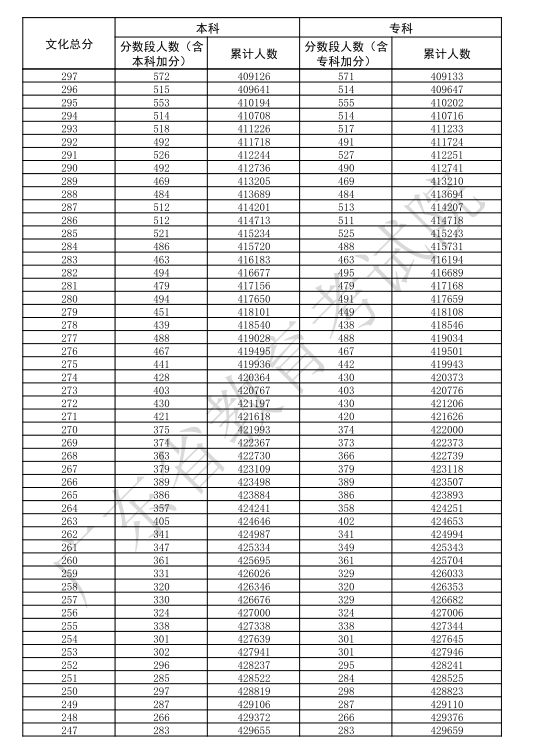
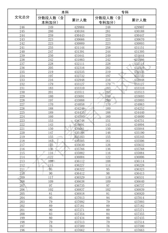
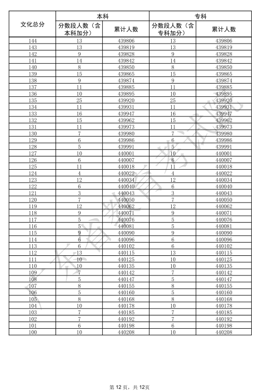
高考一分一段表意思是将全省同科类考生的档案分从高到低排列,再按每1分一段,统计“本段人数”;从本段向上一直到最高分段的所有“本段人数”相加,则为“累计人数”。小编为大家整理了2025年广东高考物理类一分一段表,2026考生们可以参考一下。

2025广东高考物理类一分一段整理:












高考一分一段表是考生志愿填报时需要的最重要的数据,以下这四种查询方法是高考一分一段表最为有效且安全的查询途径。
1、所在省的教育考试院官网进行查询。
2、所在省考试院官方微信的服务中进行查询。
3、所在省的官方微博进行查询。
4、购买相关志愿填报书籍中进行查询。
高考一分一段,是以“1分”为阶梯单位,统计获得该分数的考生人数和累计人数,一分一段表可以让考生对每一个分数段上有多少人一目了然。
在使用一分一段表时,应该对比近三年来的“一分一段”表,而不是单一使用某一年的一分一段表。看看所想要填报的大学连续三四年的最低录取分数线在哪个段位(即高出所在批次多少分),若自己的分数比至少两年的段位高,那报考该校把握较大。