一分一段表是评估目标院校范围的重要参考。考生可以根据自己的位次,缩小目标院校的选择范围,并结合往年高校的录取分数线和位次要求,科学选择适合自己的院校和专业。以下是小编整理的2025上海高考成绩排名一分一段表,供2026考生参考。

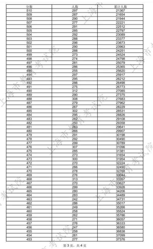
上海2025年高考一分一段表:




每年的高考成绩一分一段表是由省招办(考试院)公布的全省高考分数的考生分布统计表。它显示每一个分数全省考生有多少名,能让考生估算出自己的排位。
计算方法是将全省同科类考生的档案分(高考各科成绩+优惠加分)从高到低排列(分数相同的则为并列),再按每一分一段(也有的省份是五分一段),统计本段人数;从本段向上一直到最高分段的所有本段人数相加,则为累计人数,累计人数也是这一分数考生的最低位次。
高考成绩一分一段表是包含了加分的,加分也会体现在一分一段表中,考生不必担心是否有成绩在自己后面的考生,通过加分后超越自己。