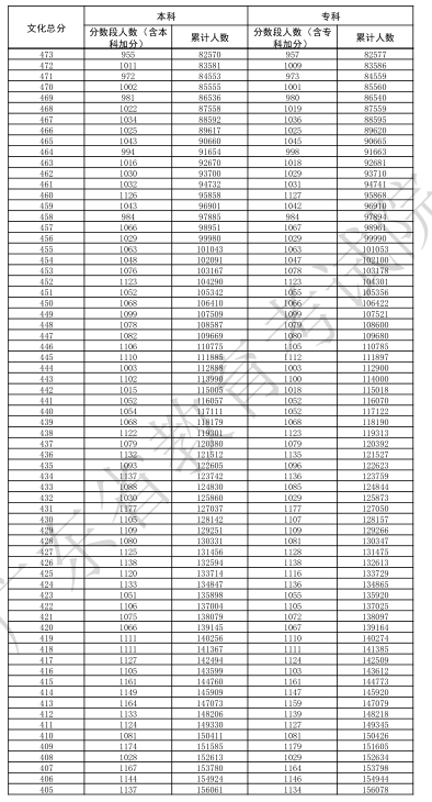
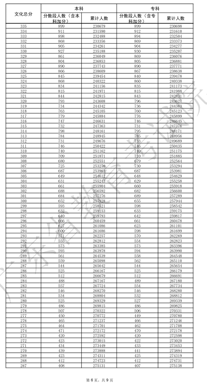
高考一分一段表意思是将全省同科类考生的档案分从高到低排列,再按每1分一段,统计“本段人数”;从本段向上一直到最高分段的所有“本段人数”相加,则为“累计人数”。小编为大家整理了2025年广东高考历史类一分一段表,2026考生们可以参考一下。

2025广东高考历史类一分一段整理:









所谓“一分一段”,是以“1分”为单位,统计获得该分数的高考考生人数和累计人数。文理科分开排名,每一个分数段上有多少人一目了然。表格中的人数:指的是共有多少人得这个分数。比如:694人数为3,表达本省理工类共有3名考生得694分。
高考考生不仅知道各批次的分数线,同时还能了解自己在全省考生中的排位,以及同分段考生的数量,更有利于考生对自己进行合理的定位。
值得注意的是:现在的招生办发布的“一分一段表”的分数是包含了加分的,假如符合加分政策的某省优秀学生加10分,也会体现在“一分一段表”中,考生不必担心是否有成绩在自己后面的考生,通过加分后超越自己的。
填报高考志愿最关键的第一步,是在“一分一段表”中查找与自己成绩相对应的分数排名,以及这一位次的成绩共有多少考生,以此来确定个人成绩在全省的位置。