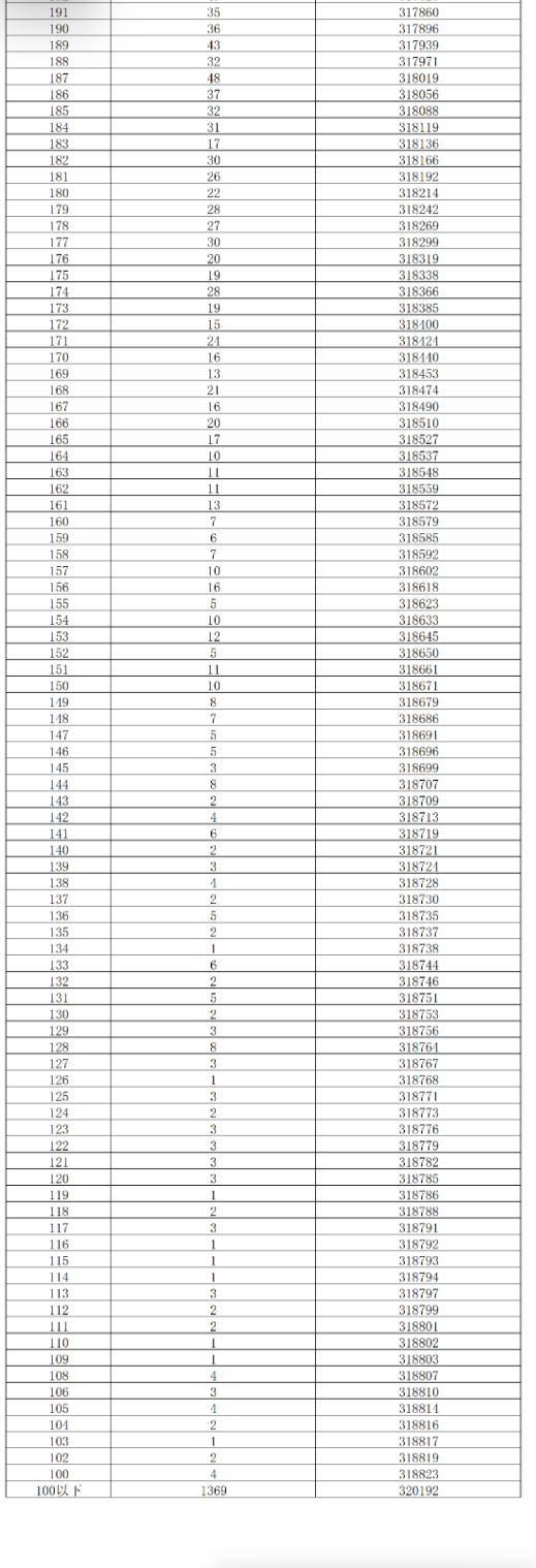
高考一分一段表意思是将全省同科类考生的档案分从高到低排列,再按每1分一段,统计“本段人数”;从本段向上一直到最高分段的所有“本段人数”相加,则为“累计人数”。小编为大家整理了2025年湖南高考物理类一分一段表,2026考生们可以参考一下。

2025湖南高考物理类一分一段表:











举个例子,在使用一分一段表的基础上,考生可以看自己的高考成绩与当年“一本”线的分数差值。假定去年超过“一本”线100分能上某所学校,看今年自己的分数超过一本线多少分。
如果超过了100分以上,填报这所学校,被录取的希望就比较大。如果成绩在某一分数段过于集中,考生填报志愿时就应注意保持各院校、各专业的志愿填报梯度。
查看自己的目标学校往年录取线在当年一分一段表中的位置,与自己的位置相对应来考虑。对目标学校要综合考虑其近3年的投档分数线、该分数当年在全省的排位以及在省内招生计划的变化情况。